概述
颗粒材料的填充与排列方式具有在不同振动频率范围内降低总声的潜力。理解多孔介质的孔隙形态特征及孔隙结构相关特性(非声学特性)或可为其声学行为提供见解。本研究采用基于 Attenborough 模型的数值预测揭示填充结构的关键孔隙结构相关参数对其法向入射吸声频谱的重要影响。
方法
采用离散元方法(DEM)创建填充球体模型,获取孔隙结构相关特性。多孔介质的孔隙率在三维图像处理软件 Simpleware 中通过测量反选(布尔运算)代表性填充结构的体积分数得出,平均粒径通过对填充结构进行分水岭分割后统计测量颗粒尺寸平均值获得。渗透性由填充球体计算所得的压强-流速数据拟合至 Hazen-Darcy 模型确定。将渗透率、孔隙率及颗粒尺寸拟合至 Kozeny-Carman 模型确定 Kozeny 常数为 4.64。

在 COMSOL 软件中对 3D 半管几何构型进行 Helmholtz 线性声学与声学多孔介质模型的数值建模与仿真获得这些材料的吸声频谱。3D 半管的几何构型基于四麦克风 AFD 1200 型声学阻抗管的尺寸创建,该装置由扬声器声源、传播管和试样段组成。入口段与出口段设置为硬声场边界壁面,在声源域和管域施加背景声压场和 1.0 Pa 的入射平面波,侧壁设置为周期性边界条件。网格数量、收敛时间与精度之间的平衡通过在 2D 几何构型上优化网格实现。2D 和 3D 模拟结果之间可忽略不计的差异可归因于体积平均声学多孔介质模型方程的求解与指定的域无关,而是取决于提供的孔隙结构相关参数代表值。因此,所有关于吸声频谱的数值模拟结果均在 2D 中进行计算,可兼顾较快的收敛时间和精度。

结果与分析
等效流体模型
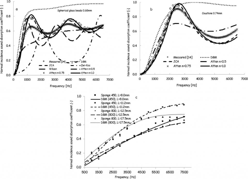
将预测的法向入射吸声频谱与文献中多个来源的实验测量数据在 0-7000 Hz 频率范围内进行对比,确定数值模型的准确性。DBM 模型、Wilson 模型和 Zwikker-Kosten 模型未能可靠地预测填充球体所表征的声学行为,原因可能在于这些模型是为预测非填充颗粒介质的声学行为而开发的。采用 DBM 模型对高孔隙率材料(多孔金属海绵)进行预测的结果与实验测量值更为吻合。JCA 模型和 Attenborough 模型能够可靠地预测颗粒材料的特征吸声频谱。Attenborough 模型采用形状因子比值 n = 1.0 时,数值模拟与实验测量完全重合,其效果优于 JCA 模型。Attenborough 模型需要利用多孔介质的五个与孔隙结构相关的参数(渗透率、孔隙体积分数、运动学迂曲度、动态形状因子和稳态流形状因子)有效预测刚性纤维吸声材料和沙土的声学特性,精确使用形状因子比值有助于缩小预测与实测声学特性之间的差距。

孔隙结构相关参数
作为孔隙结构相关特性的一部分,上述数值模拟方法中所使用的迂曲度由实验值给出。采用 Weissberg 迂曲度模型对平均粒径为 2 mm、5 mm 填充球体进行数值模拟的结果与实验一致。有力支持了假设:填充球体的迂曲度存在一个普适值的观点普遍不成立,若用于评估近球形填充结构的声学特性时可能会导致不准确。

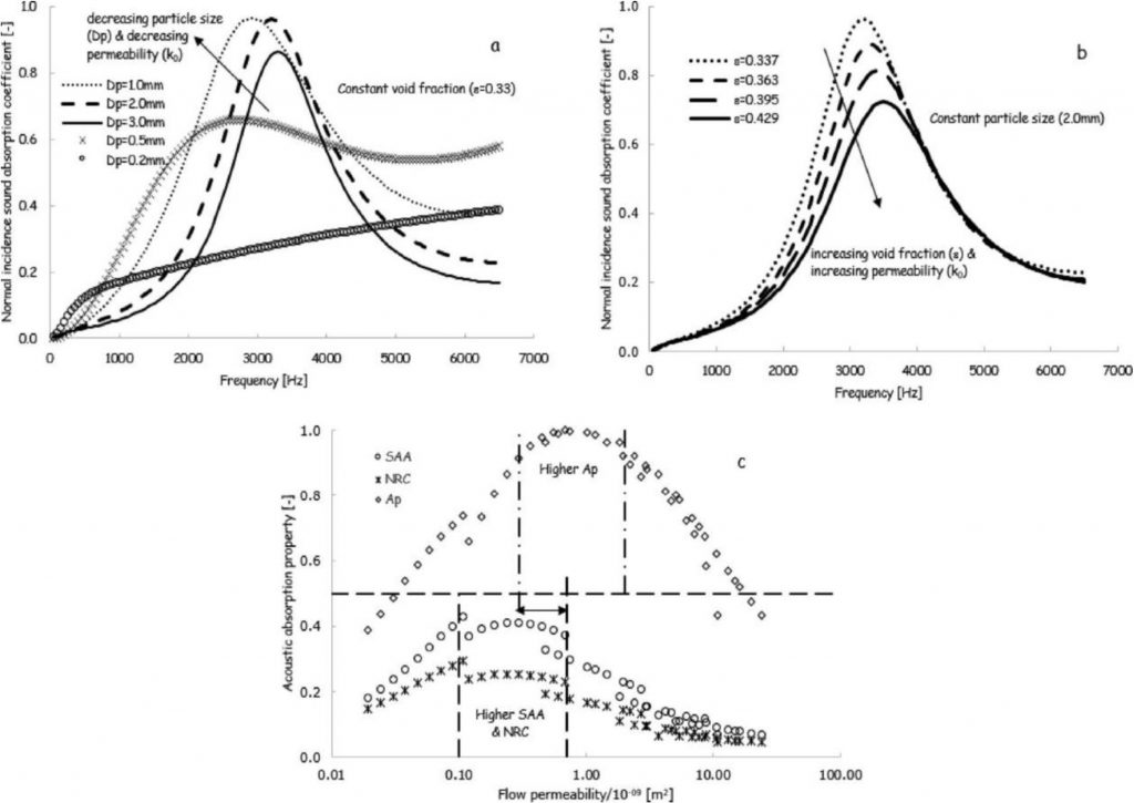
通过评估多孔介质核心孔隙结构相关参数的影响,研究改善填充球体吸声性能的潜力。采用 Attenborough 模型并取形状因子比值为 1.0,在填充床的合理范围内改变平均粒径(Dp)和孔隙体积分数(ε),这些参数会影响多孔介质的渗透率和迂曲度。
填充床孔隙非均匀性(迂曲度)的降低(由孔隙率从 0.33 增加至 0.43 导致)有效降低了吸声频谱,且使四分之一波长层的吸声峰值向频率极大值偏移,这种变化可归因于压力波传播可利用的孔隙空间存在差异。在极高频率(超过 4000 Hz)下吸声频谱可忽略不计的微小差异可能是这些填充结构所表现出不变的壁面效应。密实填充结构能够穿透较长的波长,颗粒尺寸的差异会导致在可听频率下热边界层增加相关的变化。
即使近似为密集填充,大尺寸填充球体的数值预测法向入射吸声频谱也相当差。因此,吸声性能的持续改善仅限于较小尺寸球体。通过增加较小尺寸填充结构的可用孔隙空间,填充球体的特征吸声性能得到了显著改善。当渗透率介于 0.3 × 10-9 至 2.0 × 10-9 m2 时,改善的吸声性能明显很高。对于不同的孔隙体积分数,填充球体的最优吸声性能存在于平均粒径为 0.5-1.0 mm 的结构中。在最优平均粒径和流动渗透率范围之外,特征吸声性能明显较差,且在大多数情况下混响衰减小于一半。

通过引入空气间隙(AG,背腔)和增加多孔层厚度(AT)进一步改善最佳选定试样的特征吸声性能。在两种情况下均记录到了更宽频带的噪声控制和共振吸收中四分之一波长层峰值向频率最小值的偏移,但引入背腔的方法效果更优。在较低频率(0-2000 Hz)下,引入背腔相较于增加多孔层厚度更为重要,且从成本效益和负载冲击优势的角度考虑,该方法将适用于最优选定填充球体结构的范围。

结论
本研究提供了 Attenborough 等效流体模型作为填充球体特征吸声频谱准确预测工具的倾向性见解,比其他模型的模拟结果更贴合实验测量数据。数值预测结果证明了特征吸声频谱的可靠性取决于填充球体孔隙结构相关参数(渗透率、粒径、孔隙体积分数)的重要性。将渗透率控制在 0.3 × 10-9 至 2.0 × 10-9 m2 范围内并结合引入背腔及增加多孔层厚度以实现高效吸声,显著改善特征吸声频谱,同时四分之一波长层共振吸收频率向极小值偏移。该方法有望助力获得理想且适宜的填充结构,减少一半以上的噪声污染。
参考
Otaru A J, Manko Z, Odumu O E, et al. Numerical modelling and optimisation of reverberation cutback for packed spheres[J]. Journal of King Saud University–Engineering Sciences, 2026, 38(2): 12.
