研究背景
2007 年首例镁(I)配合物的发现确立了低氧化态碱土金属化学的研究基石,这类化合物现已广泛应用于还原反应及小分子活化。然而,向更重碱土金属拓展则面临巨大挑战:随着原子序数增加,Ae-Ae 键(Ae=Ca, Sr, Ba)键长显著增长且键能急剧下降,导致重碱土金属配合物因键断裂产生高活性自由基而极不稳定。这种热力学不稳定性在实验中表现为极强的还原性,尝试合成 Ca-Ca 键时甚至会引发芳香溶剂或惰性气体 N₂的还原反应,难以分离得到稳定的目标化合物。
鉴于 Mg-Mg 键的稳定性和 Ca-Ca 键的不稳定性,最近埃尔朗根-纽伦堡大学 Sjoerd Harder 教授团队通过设计位阻较大的配体组合,成功分离出首例 Mg-Ca 键配合物,揭示了其成键状态介于离子键与共价键(自由基耦合)之间。这种电子结构的模糊性导致了强烈的键极化(Mgδ⁻-Caδ⁺),赋予了该配合物独特的双亲反应活性(Mg 亲核/Ca 亲电),成功解决了该领域长期存在的合成挑战。

研究内容
1.合成策略
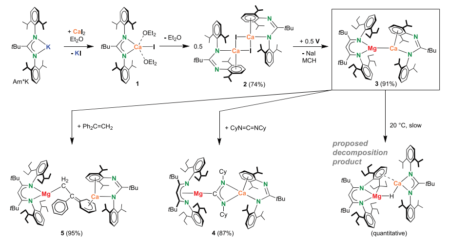
虽然利用钠镁基配合物通过盐复分解反应成功构建了 Mg-Be 键(图1,VI),但作者采用类似策略合成 Mg-Ca 键(图 2,VIII)以及 (BDI*)Mg-CaCp*(图 2,IX)时,均因中间体极高的反应活性而失败。随后通过二聚体的去聚集/聚集策略,成功构筑了首个含 Mg-Ca 键(图 2,XI)的混合聚集体,但该键较长且高度动态,并由 NaN 桥联支撑,表现出可逆交换性,可扩展形成 Mg-Sr、Mg-Ba 及 Mg-镧系键。

在此基础上,作者利用大位阻脒基配体 Am*,首先合成了单体前体 Am*CaI·(Et2O)₂(1),其在除去溶剂后转变为配位模式生成二聚体 [Am*CaI]₂(2)。该二聚体与钠镁基配合物在甲基环己烷中反应,通过 NaI 沉淀的析出,生成了目标混合金属产物 (BDI*)Mg-Ca(Am*)(3)。

2.理论计算
化合物 3 的 DFT 几何优化结果与实验结构吻合良好,其 NPA 电荷分析显示 Mg 和 Ca 分别带有 +0.66 和 +1.28 的电荷,证实了显著的 Mgδ⁻─Caδ⁺ 极化,Mg/Ca 电荷的不均衡性与 Pauling 电负性差异(Mg: 1.31, Ca: 1.00)相一致,表明配合物形式上属 Mg0─CaII 物种(EOS分析亦如此认定,但可靠性指数为69.8%)。但金属电荷反映出显著的 MgI─CaI 特征。AIM 分析揭示了键临界点及弱共价键特征(图 4a),未观察到非核吸引子(NNA)归因于两金属电负性差异。HOMO 显示 Mg-Ca 轴上的 σ 成键(图 4b)。
化合物 3 的 EDA-NOCV 分析中(图 4c),为了进行对比,采用了两种不同的片段划分方式即:带电闭壳层离子碎片 (BDI∗)Mg−/(Am∗)Ca+ 与中性开壳层自由基碎片 (BDI∗)Mg∙/(Am∗)Ca∙。结果显示,尽管两种方式的色散贡献相同(ΔEdisp = -35.6 kcal mol⁻¹),但闭壳层的总相互作用能绝对值显著更大(ΔEint = -151.9 kcal mol⁻¹,中性碎片为 -61.0 kcal mol⁻¹),这主要归因于带电闭壳层具有更强的静电相互作用(ΔEelstat = -156.2 kcal mol⁻¹,中性碎片为 -73.5 kcal mol⁻¹)和轨道相互作用(ΔEorb = -50.5 kcal mol⁻¹,中性碎片为 -32.3 kcal mol⁻¹)。然而,依据 EDA 惯例,轨道相互作用能绝对值最小的划分方式通常对应于最佳成键描述(注意,由于该规则存在例外情况,这一结论应审慎对待),据此判断,化合物 3 的成键本质更接近于中性开壳层自由基的结合。

总结
本研究利用大位阻的BDI*和Am*配体组合,成功实现了双金属Mg-Ca键配合物的稳定分离。该键呈现显著的Mgδ⁻-Caδ⁺极化特征,EDA-NOCV分析表明其本质更接近中性自由基的结合。这种高度极化的长键反应活性远超Mg-Mg键,并表现出Mg端亲核、Ca端亲电的独特双亲反应特性。本工作证明了通过 “空间屏蔽+极化补偿”策略可以稳定原本极易分解的主族异核金属键。同时,EDA-NOCV 的分析结果量化了成键过程中的能量贡献,不仅为新型多金属协同催化剂的设计提供了精确指标,更展示了通过精细调控金属间电荷流向,实现复杂化学键裂解转化的可能性。
文献来源:Thakur S K, Langer J, Roig N, et al. Synthesis, Structure, and Reactivity of a Magnesium (0) Complex with a Polarized Mgδ−– Caδ+ Bond[J]. Angew. Chem. Int. Ed. 2026, 65, e25777. DOI: 10.1002/anie.202525777
感谢胡钧员老师供稿!
